-
-
- 您现在的位置:首页 >> 产品中心 >> 标准物质 >> 中国标准物质中国标准物质
-

-
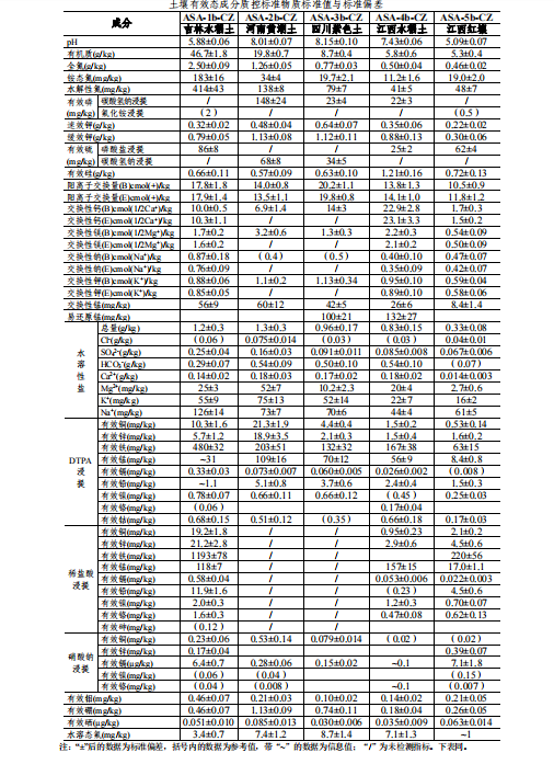
中文名称:土壤有效态成分分析标准物质-四川简阳紫色土
英文名称:Soil订货以英文名称为准。
产品编号:GBW07414b(ASA-3b)CAS:/
品牌:标准物质产地:/
标准值:见证书分子式:/
规格 市场价(元) 折后价(元) 供货周期 数量 加入购物车 500g 0.00 0.00 加入购物车
-
产品详细介绍
GBW07414b(ASA-3b)土壤有效态成分分析标准物质-四川简阳紫色土,500g/瓶, 有证书,物化探所厂家原包装。
本系列 10 个土壤有效态成分分析标准物质,定值指标 61 项,样品采自我国主要土壤类型区和主要农
业区,包含酸性、中性、碱性土壤,样品采集信息见表 1。样品经晾干、去除杂物后,用高铝瓷球磨机粗碎
2h 过 0.84mm(20 目)筛,筛下样再置入球磨机粉碎 4-6h 过 0.25mm(60 目)筛,于 105℃烘 24h 后,置
于密封良好的聚乙烯桶中,放置 1 年以上陈化。陈化后混匀、出料,分装于 500mL 塑料瓶中。
最小取样量 0.5g。用后立即紧盖密封,保存于阴凉干燥处。

